Obwohl die Aufgaben nur die Nummer 2 zu diesem Kapitel darstellen, so
sind sie doch nicht ganz trivial:
nach den Vorstellungen der Lehrplanersteller solltet ihr jedoch diese
Aufgaben mehr oder weniger problemlos lösen können.
Da habe ich schon meine Zweifel - deshalb meine ausführlichen Lösungen
zum Nacharbeiten.
Mit einer Bitte um Rücksichtnahme:
Es ist nicht so einfach, diese Seiten zu erstellen:
* Word mit Word-Formeleditor
* snippingtool
* speichern mit passendem Namen im richtigen Ordner
* einbinden in die *.html-Datei
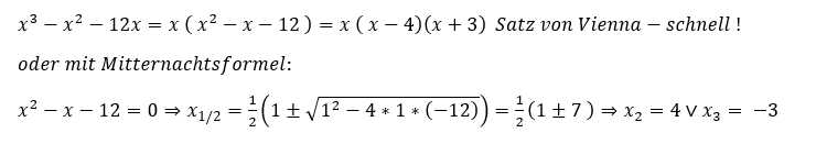
Leider ist mir ein Schreibfehler unterlaufen, der sich über alle 9
Aufgaben durchzieht - eine nachträgliche Korrektur war leider nicht
mehr so ohne weiteres möglich:
Es muss richtig heißt "Satz von Vieta - nicht Satz von Vienna" - sorry!
BS 115/2a

weiter